AlphaGo: Về mặt kỹ thuật thì nó hoạt động như thế nào? - chó p'max
AlphaGo: Về mặt kỹ thuật thì nó hoạt động như thế nào?
LTC2335-16 Datasheet by Analog Devices Inc. Digi-Key Electronics
Vietnamese Language Processing Issues and Challenges Ho Tu
chai đựng nước đá lâu Chất Lượng, Giá Tốt 2021 Lazada.vn
Thép Tấm S275, S275JR sắt thép xây dựng mới nhất 24/24 - 097.5555.055
Vietnamese Language Processing Issues and Challenges Ho Tu
Malaysia thư trực tiếp Máy pha cà phê Nestle / Nestle Gold Nescafe 
Cách giải bài tập Mạch điện xoay chiều có R thay đổi hay, chi tiết
Lọc gió R-Max ROKI cho xe Honda Lead 125 (đời xe từ 2012- 2020
Tuyển tập Đều0026ĐA-BD-HSG Vật lý tuyen tap deda thi tuyen hsg ly cac 
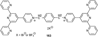
Advances in the field of π-conjugated 2,2u2032:6u2032,2u2033-terpyridines 
Sticker dán móng tay PMAX 3D 14 móng không thấm nước chất lượng